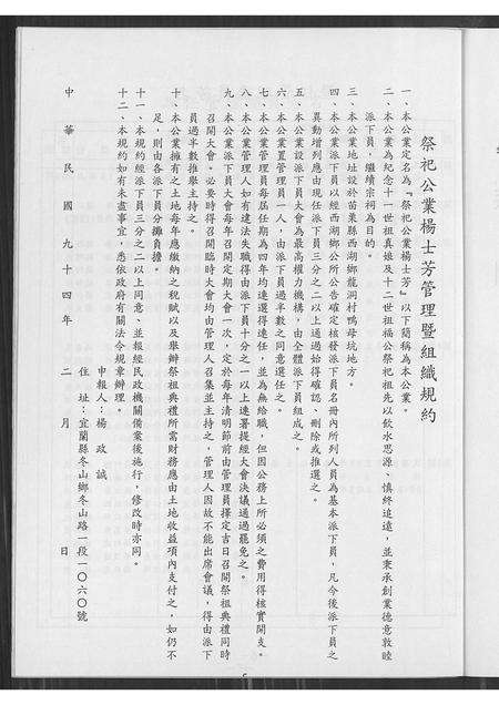
福建杨氏族谱-杨祖楼公真娘派下来台祖记述手册.pdf电子版
编修责任者:nan
宜兰市问心斋陈永瑞
为能实时提供网络用户搜寻, 此书谨有简略讯息, 谱书影像内容未经审阅. 如有错误, 请透过「意见反馈」反应.
归属地:中国, 台湾省, 宜兰县
中国, 台湾省
中国, 福建省, 诏安县
中国, 福建省

6595.杨祖楼公真娘派下来台祖记述手册.pdf电子版

6595.杨祖楼公真娘派下来台祖记述手册网盘下载

6595.杨祖楼公真娘派下来台祖记述手册高清PDF



族谱大小:8.95MB
页数:24页