福建余氏族谱-余氏族谱 [不分卷].pdf电子版
编修责任者:余庆雄记
原书: [出版地不详 : 出版者不详], 民国83[1994]. 1册 : 世系表.
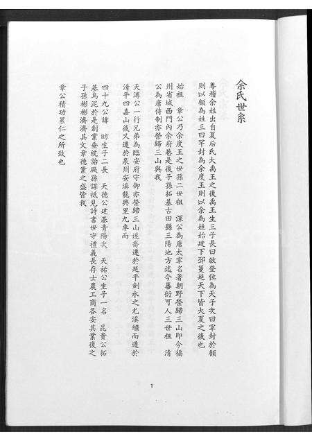
受姓祖 : 罕. 夏禹第三子,封为余度王,以余为姓,始建下邳.
远祖 : (唐) 余章. 为光禄大夫. 原籍河南光州固始县. 后从王审知入闽.
临安祖 : 余博,字天溥,行迩二. 旭公之长子. 为临安府守御,荣归三山,乔迁延平尤溪.
始祖 : (宋元之际) 余四十九公,讳昉,号东园. 德谦公长子. 迁于泉州安溪县.
昉公下二子 : 余天德 ; 余天祐.
字行(19世起) : 智仁礼义信 忠君世泽芳 荣华光昌大 富贵绍显宗 文章士超 英俊孝悌 家传祖训 箕裘奕代 永昌心田 存在方寸.
散居地 : 福建省安溪县等地.
书名据书衣题, 及书名页题编目.
归属地:中国, 福建省, 安溪县
中国, 福建省
![福建余氏族谱-余氏族谱 [不分卷].pdf电子版预览图 福建余氏族谱-余氏族谱 [不分卷].pdf电子版预览图](https://5000sx.com/wp-content/uploads/2025/09/001-1327.jpg)
6850.余氏族谱 [不分卷].pdf电子版
![福建余氏族谱-余氏族谱 [不分卷].pdf电子版预览图1 福建余氏族谱-余氏族谱 [不分卷].pdf电子版预览图1](https://5000sx.com/wp-content/uploads/2025/09/002-1327.jpg)
6850.余氏族谱 [不分卷]网盘下载
![福建余氏族谱-余氏族谱 [不分卷].pdf电子版预览图2 福建余氏族谱-余氏族谱 [不分卷].pdf电子版预览图2](https://5000sx.com/wp-content/uploads/2025/09/003-1325.jpg)
6850.余氏族谱 [不分卷]高清PDF
![福建余氏族谱-余氏族谱 [不分卷].pdf电子版预览图3 福建余氏族谱-余氏族谱 [不分卷].pdf电子版预览图3](https://5000sx.com/wp-content/uploads/2025/09/004-1314.jpg)
![福建余氏族谱-余氏族谱 [不分卷].pdf电子版预览图4 福建余氏族谱-余氏族谱 [不分卷].pdf电子版预览图4](https://5000sx.com/wp-content/uploads/2025/09/005-1301.jpg)
![福建余氏族谱-余氏族谱 [不分卷].pdf电子版预览图5 福建余氏族谱-余氏族谱 [不分卷].pdf电子版预览图5](https://5000sx.com/wp-content/uploads/2025/09/006-1288.jpg)
族谱大小:70.0MB
页数:202页