福建陈氏族谱-下曾陈氏来台湾居住元埔村族谱 [不分卷].pdf电子版
编修责任者:陈新男…[等]修
原书: [台湾 : 出版者不详], 民国73[1984]. 1册(248页) : 世系表.
收藏所 : 宜兰市问心斋陈永瑞
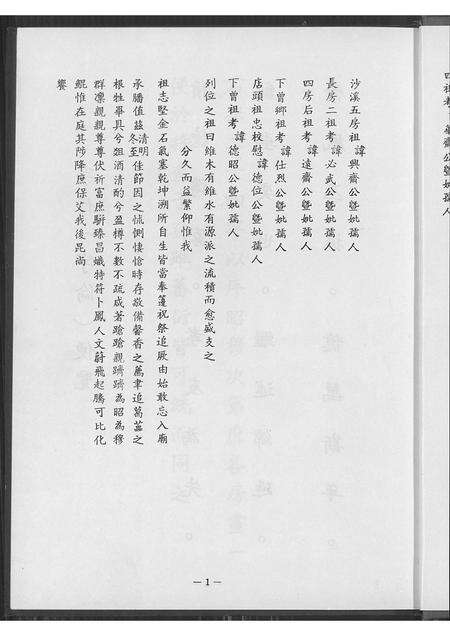
金门下坑始祖 : (宋) 陈子俊
浯水一世祖 : 陈东埜.
来台祖 : 陈公,名讳不详. 生二子 : 陈溅 ; 陈庆(止).
房祖(3世) : (清) 陈本全(仁房) ; 陈两全(义房) ; 陈所全(礼房) ; 陈富全(智房). 皆为陈溅之子.
本全公下四子(4世) : 陈忠(长房长) ; 陈义(长房二) ; 陈廉(长房三) ; 陈协(长房四).
两全公下四子 : 陈肯(二房长) ; 陈万(二房二) ; 陈田(二房三) ; 陈场(出继富全公).
所全公下三子 : 陈智(三房长) ; 陈细(三房二) ; 陈家(三房三).
昭穆 : 积德传家 孝友为先 创垂奕世 继述绵延 崇风丕振 亿万斯年.
散居地 : 台湾省彰化县埤头乡元埔村等地
书名据书衣题, 及书名页题编目.
归属地:中国, 台湾省, 彰化县, 埤头乡, 元埔村
中国, 台湾省, 彰化县
中国, 福建省, 同安县
![福建陈氏族谱-下曾陈氏来台湾居住元埔村族谱 [不分卷].pdf电子版预览图 福建陈氏族谱-下曾陈氏来台湾居住元埔村族谱 [不分卷].pdf电子版预览图](https://5000sx.com/wp-content/uploads/2025/09/001-1536.jpg)
下曾陈氏来台湾居住元埔村族谱 [不分卷].pdf电子版
![福建陈氏族谱-下曾陈氏来台湾居住元埔村族谱 [不分卷].pdf电子版预览图1 福建陈氏族谱-下曾陈氏来台湾居住元埔村族谱 [不分卷].pdf电子版预览图1](https://5000sx.com/wp-content/uploads/2025/09/002-1535.jpg)
下曾陈氏来台湾居住元埔村族谱 [不分卷]网盘下载
![福建陈氏族谱-下曾陈氏来台湾居住元埔村族谱 [不分卷].pdf电子版预览图2 福建陈氏族谱-下曾陈氏来台湾居住元埔村族谱 [不分卷].pdf电子版预览图2](https://5000sx.com/wp-content/uploads/2025/09/003-1533.jpg)
下曾陈氏来台湾居住元埔村族谱 [不分卷]高清PDF
![福建陈氏族谱-下曾陈氏来台湾居住元埔村族谱 [不分卷].pdf电子版预览图3 福建陈氏族谱-下曾陈氏来台湾居住元埔村族谱 [不分卷].pdf电子版预览图3](https://5000sx.com/wp-content/uploads/2025/09/004-1521.jpg)
![福建陈氏族谱-下曾陈氏来台湾居住元埔村族谱 [不分卷].pdf电子版预览图4 福建陈氏族谱-下曾陈氏来台湾居住元埔村族谱 [不分卷].pdf电子版预览图4](https://5000sx.com/wp-content/uploads/2025/09/005-1506.jpg)
![福建陈氏族谱-下曾陈氏来台湾居住元埔村族谱 [不分卷].pdf电子版预览图5 福建陈氏族谱-下曾陈氏来台湾居住元埔村族谱 [不分卷].pdf电子版预览图5](https://5000sx.com/wp-content/uploads/2025/09/006-1491.jpg)
族谱大小:67.27MB
页数:256页