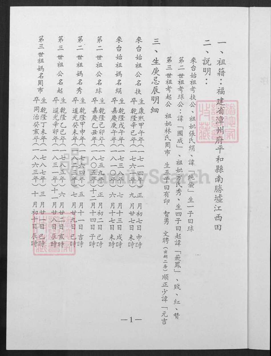
湖南省岳阳市平江县加义镇江氏族谱-山仔顶长竹巷淮阳江氏族谱.pdf电子版
著作者:江德茂 – 主任委员
卷册页:不分卷
撰修时间:1714-2002年
压缩包/PDF大小:8.84 MB
PDF页数/图片数量:24页
本链接为档案馆原始档案,所存卷数、页数与档案馆一致。
购买后点击下载即可查看高清文件。
更多族谱方志档案请站内搜索。

湖南省岳阳市平江县加义镇江氏族谱-山仔顶长竹巷淮阳江氏族谱.pdf电子版

湖南省岳阳市平江县加义镇江氏族谱-山仔顶长竹巷淮阳江氏族谱网盘下载

湖南省岳阳市平江县加义镇江氏族谱-山仔顶长竹巷淮阳江氏族谱高清PDF


