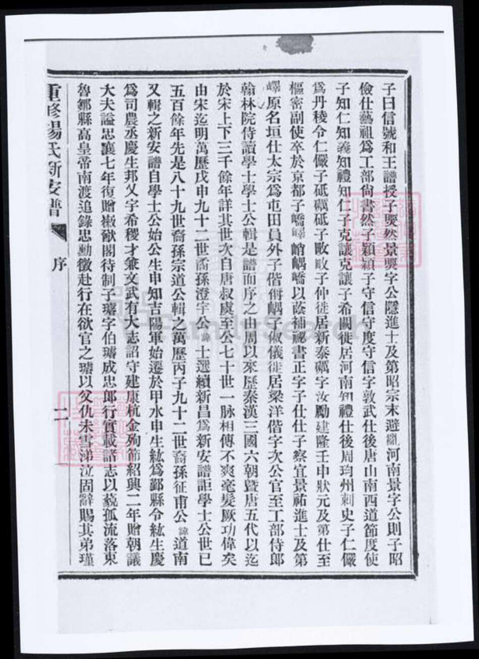
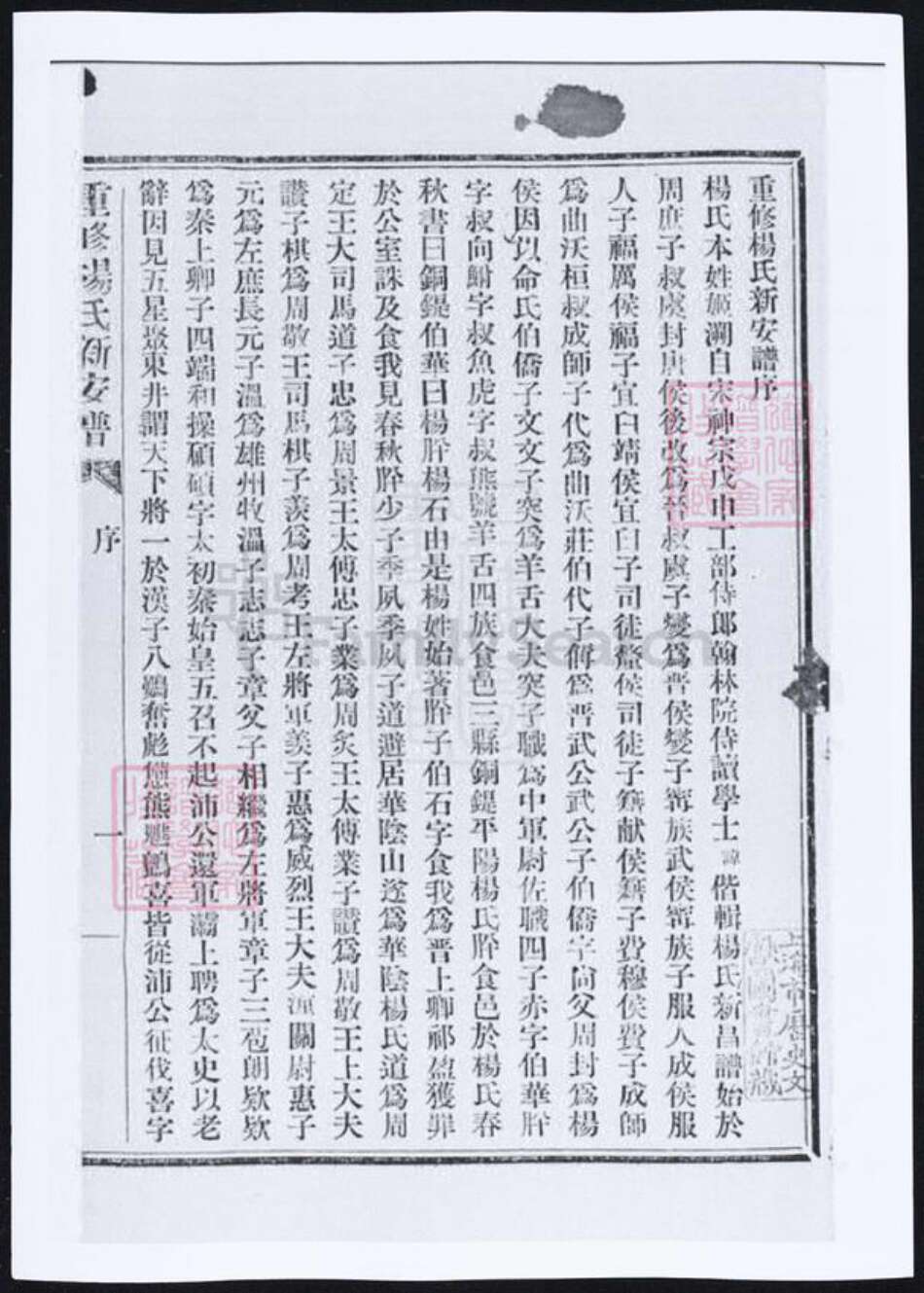
江苏省苏州市昆山市杨氏族谱-杨氏娄城支谱.pdf电子版 2025年11月4日 下载 ⭐ 收藏文章 我的收藏 压缩包/PDF大小:146.83 MB PDF页数/图片数量:128页 本链接为档案馆原始档案,所存卷数、页数与档案馆一致。 购买后点击下载即可查看高清文件。 更多族谱方志档案请站内搜索。 江苏省苏州市昆山市杨氏族谱-杨氏娄城支谱.pdf电子版 江苏省苏州市昆山市杨氏族谱-杨氏娄城支谱网盘下载 江苏省苏州市昆山市杨氏族谱-杨氏娄城支谱高清PDF 资源下载此资源下载价格为39元立即购买付款后刷新本页面,点击下载即可,有任何问题联系微信: w5beis(必回) ⭐ 收藏文章 我的收藏 分类:家谱 标签:杨氏族谱 相关推荐 湖南杨氏族谱-西冲杨氏五修族谱 [14卷,含首1卷].pdf电子版 湖南杨氏族谱-长沙水矶口杨氏家谱 [前3卷,後6卷,首1卷,末2卷].pdf电子版 湖南杨氏族谱-靳江杨氏三达祠首修族谱.pdf电子版 湖南杨氏族谱-杨氏六修族谱.pdf电子版 湖南杨氏族谱-杨氏家谱 [不分卷].pdf电子版 江西未知族谱-杨氏家谱 [不分卷].pdf电子版 查看更多相关推荐