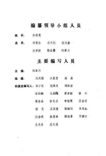
《遵义地区医院志(1938-1985)》.pdf电子版_贵州省志 2025年8月14日 下载 ⭐ 收藏文章 我的收藏 内容简介:贵州省遵义地区医院编纂的《遵义地区医院志》,上限始于1938年8,月1日下限截至1 985年1 2月,历时48年。 《遵义地区医院志》于1985年9月开始搜集资料,1986年3月正式动笔,边撰搞,边补充材料、核实材料,边修改。历时6个月,于1986年9月定稿,全书约20万字。 编纂人员:鞠香涛 编纂单位:遵义地区医院志编写办公室 内容时限:1938-1985 资源下载此资源下载价格为20元立即购买付款后刷新本页面,点击下载即可,有任何问题联系微信: w5beis(必回) ⭐ 收藏文章 我的收藏 分类:县志 标签:医院志 相关推荐 -青田县人民医院志 1929-1999.pdf电子版_浙江省志 -温州市第二人民医院百年院史 1897-1997.pdf电子版_浙江省志 稳步轻行问伤病 华东军区第一重伤医院院志.pdf电子版_其他志 郴州市第一人民医院志 2007-2017.pdf电子版_湖南省志 资阳市第一人民医院院志(1940-2015).pdf电子版_四川省志 费县人民医院志.pdf电子版_山东省志 查看更多相关推荐